Jenis Termometer dan Skala Suhu - Suhu adalah tingkat (derajat) panas suatu benda. Benda yang panas mempunyai derajat panas lebih tinggi daripada benda yang dingin. Suhu benda yang diukur dengan indra perasa menghasilkan ukuran suhu kualitatif yang tidak dapat dipakai sebagai acuan. Suhu harus diukur secara kuantitatif dengan alat ukur suhu yang disebut termometer. [ Materi IPA Kelas 7 Semester 1 ]
Jenis-Jenis Termometer
1. Termometer Zat Cair
Secara umum, benda-benda di alam akan memuai (ukurannya bertambah besar) jika suhunya naik. Kenyataan ini dimanfaatkan untuk membuat termometer dari zat cair. Cairan terletak pada tabung kapiler dari kaca yang memiliki bagian penyimpan (reservoir/ labu).
Zat cair yang digunakan umumnya raksa atau alkohol jenis tertentu. Raksa memiliki keistimewaan, yaitu warnanya mengkilat dan cepat bereaksi terhadap perubahan suhu. Selain itu, raksa membeku pada suhu rendah (-38oC) dan mendidih pada suhu yang tinggi (lebih dari 350oC) sehingga dapat mengukur suhu pada rentang suhu yang lebar. Namun, raksa sangat beracun, sehingga berbahaya jika termometer pecah.
Alkohol untuk pengisi termometer biasanya diberi pewarna biru atau merah.
Rentang suhu yang dapat diukur bergantung jenis alkohol yang digunakan, contohnya:
- Toluen, dengan rentang -90oC hingga 100oC
- Ethyl alcohol, dengan rentang -110oC hingga 100oC
Alkohol tidak seberbahaya raksa dan mudah menguap, sehingga lebih aman digunakan sebagai pengisi termometer.
- Termometer laboratorium Bentuknya panjang dengan skala dari -10°C sampai 110°C menggunakan raksa, atau alkohol.
- Termometer suhu badan Termometer ini digunakan untuk mengukur suhu badan manusia. Skala yang ditulis antara 35oC dan 42oC. Pipa di bagian bawah dekat labu dibuat sempit sehingga pengukuran lebih teliti akibat raksa tidak segera turun ke labu/reservoir.
3. Termometer Bimetal
Perhatikan dua logam yang jenisnya berbeda dan dilekatkan menjadi satu. Jika suhunya berubah, bimetal akan melengkung. Mengapa? Karena logam yang satu memuai lebih panjang dibanding yang lain. Hal ini dimanfaatkan untuk membuat termometer.
3. Termometer Kristal Cair
Terdapat kristal cair yang warnanya dapat berubah jika suhu berubah. Kristal ini dikemas dalam plastik tipis, untuk mengukur suhu tubuh, suhu akuarium, dan sebagainya
Skala Suhu
Berapa suhu tubuh manusia sehat? Ya, kamu akan menjawab 37 C. Huruf C kependekan dari Celcius, salah satu contoh satuan suhu atau skala suhu. Saat ini, dikenal beberapa skala suhu, misalnya Celcius, Fahrenheit, Reamur, dan Kelvin.
Dalam pengukuran tetang suhu adalah beberapa skala yang bisa digunakan, berikut ini ragamnya:
1. Skala Celsius
Skala Celcius ini dikemukakan oleh Anders Celcius, seorang astronom Swedia. Andres Celcius pertama kali mempresentasikan tentang skala Celcius yang pertama kali dirumuskannya pada 1742, dalam publikasinya “The Origin Of The Celcius Temperature scale”. Skala Celcius ditetapkan berdasarkan titik lebur es dan titik didih air pada tekanan 1 atm. Titik lebur es digunakan sebagai titik tetap bawah dan titik didih air digunakan sebagai titik tetap atas.
Skala pengukuran suhu dengan skala celcius dinyatakan dalam derajat. Skala ini sudah terkenal di Indonesia sebagai standar skala pengukuran suhu.
2. Skala Kelvin
Skala kelvin dikemukakan oleh Lord Kelvin, seorang ilmuwan fisika yang berasal dari negara inggris. Dengan meneliti energi kinetik suatu partikel yang dihubungkan dengan kenaikan suhu, Kelvin menemukan bahwa pada suhu -273 C, partikel berhenti bergerak. Akibatnya tidak ada lagi suhu yang dapat diukur karena energi kinetik Partikel sama dengan nol. Berdasarkan penemuan ini, kelvin mengusulkan adanya nol mutlak yaitu suhu terendah yang mungkin dapat dimiliki oleh suatu benda.
3. Skala Fahrenheit
Skala Fahrenheit dikemukan oleh seorang ilmuwan dari jerman bernama Gabriel Fahrenheit. Skala pengukuran Fahrenheit dinyatakan dalam derajat Fahrenheit yang dilambangkan dengan F. Sama halnya dengan skala Celcius, skala ini juga menggunakan titik lebur es untuk titik tetap bawah dan titik didih air untuk titik tetap atas. Bedanya, pada skala ini titik lebur es diberi angka 32 F dan titik didihnya diberi angka 212 F. Skala Fahrenheit ini biasa digunakan diamerika serikat.
4. Skala Reamur
Skala Reamur dikemukakan oleh Rene Antoine Frechault de Reamur, seorang ilmuwan dari perancis, pada 1731. Titik beku air pada skala ini sama dengan skala celcius, yaitu nol derajat celcius. Namun, titik didih air diberi angka 80 derajat. Dengan demikian 1 derajat Reamur sama dengan 1,25 derajat celcius atau kelvin. Dulunya skala ini banyak digunakan dinegara-negara eropa. Tapi sekarang pemakainnya sangat jarang ditemui, karena kalah populer dibandingkan dengan skala lainnya.
Kelvin merupakan skala suhu dalam SI. Skala Kelvin menggunakan nol mutlak, tidak menggunakan “derajat”. Pada suhu nol Kelvin, tidak ada energi panas yang dimiliki benda. Perbedaan antara skala itu adalah angka pada titik tetap bawah dan titik tetap atas pada skala termometer tersebut.
Penggunaan Matematika
Perbandingan Skala Suhu:
skala C: skala R: skala F: skala K = 100 : 80 : 180 : 100
skala C: skala R: skala F: skala K = 5 : 4 : 9 : 5
Dengan memperhatikan titik tetap bawah (dibandingkan mulai dari nol semua), perbandingan angka suhunya:
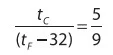
tC : tR : (tF - 32) : (tK -273) = 5 : 4 : 9 : 5
Perbandingan di atas dapat digunakan untuk menentukan konversi skala suhu. Sebagai contoh, konversi skala suhu dari Celcius ke Fahrenheit.
maka
Contoh Penerapan
1.Tentukan 45oC = .... oF
Dengan menggunakan persamaan perbandingan suhu diperoleh
tF = 5/9 tC + 32 = ( 9/5 x 45 ) + 32 = 113 oF
2.
Tentukan 25oC = .... oR
Dengan
menggunakan persamaan perbandingan suhu diperoleh
tR
= 4/5 tC = 4/5 x 25 = 20 oR
3.
Tentukan 78oC = ... K
Dengan
menggunakan persamaan perbandingan suhu diperoleh
tK = tC+273 = 78+273 = 351 K



