Rumus Relativitas – Pada kesempatan ini admin niatku.com akan berbagi hal-hal yang penting dan berhubungan dengan masalah Relativitas Newton dan Einstein serta Rumus Relativitas keduanya.
Relativitas Newton
Suatu benda dikatakan bergerak apabila kedudukan benda itu berubah terhadap kedudukan tertentu. Untuk menyatakan benda itu bergerak kita harus menentukan suatu titik acuan atau kerangka acuan yang digunakan sebagai patokan/pedoman. Sebagai contoh, Hasan pergi ke Jakarta dengan naik kereta api, menurut pengamat yang berdiri diam di stasiun mengatakan Hasan itu bergerak, sedangkan menurut pengamat yang duduk di sebelah Hasan di dalam kereta itu mengatakan Hasan itu diam tidak bergerak. Jadi dalam hal ini Hasan dapat dikatakan diam atau bergerak tergantung pada titik acuan atau kerangka acuan yang dipakai. Apabila kerangka acuan adalah stasiun dikatakan Hasan bergerak, tetapi jika kerangka acuan yang digunakan adalah kereta api maka Hasan itu dikatakan diam.
Berdasarkan contoh di atas benda yang bergerak itu bersifat relatif, yaitu tergantung pada kerangka acuan yang digunakan. Dalam peristiwa di atas terdapat dua kerangka acuan, yaitu kerangka acuan yang diam (kerangka acuan yang dipakai oleh pengamat yang diam di stasiun) dan kerangka acuan yang bergerak (kerangka acuan yang dipakai oleh pengamat yang diam di dalam kereta api yang bergerak). Stasiun kereta api yang kita anggap diam ini pun sebenarnya juga bergerak bersama-sama bumi mengelilingi matahari, matahari bersama-sama bintang-bintang yang lainnya bergerak dalam galaksi dan begitu seterusnya. [ Pengertian Proses Sintering ]
Dengan demikian gerak benda itu tidak mutlak melainkan bersifat relatif.
Teori Relativitas Einstein
Teori hipotesis eter telah membuktikan secara tidak langsung bahwa eter itu tidak ada. Albert Einstein pada tahun 1905 mengusulkan teori relativitas khusus. Teori ini bertolak pada kerangka acuan inersial yaitu kerangka acuan yang bergerak relatif dengan kecepatan konstan terhadap kerangka acuan yang lain. Sepuluh tahun kemudian pada tahun 1915, Einstein mengemukakan teori relativitas umum yang bertolak dari kerangka acuan yang bergerak dipercepat terhadap kerangka acuan yang lainnya.
Dalam mengemukakan teori relativitas khusus ini Einstein mengemukakan dua postulat yaitu :
- Hukum Fisika dapat dinyatakan dalam bentuk persamaan yang berbentuk sama pada semua kerangka acuan inersial.
- Kecepatan cahaya di dalam ruang hampa ke segala arah adalah sama untuk semua pengamat dan tidak tergantung pada gerak sumber cahaya atau pengamat.
Pada postulat yang pertama tersebut menyatakan ketiadaan kerangka acuan universal. Apabila hukum fisika berbeda untuk pengamat yang berbeda dalam keadaan gerak relatif, maka kita dapat menentukan mana yang dalam keadaan “diam” dan mana yang “bergerak” dari perbedaan tersebut. Akan tetapi karena tidak ada kerangka acuan universal, perbedaan itu tidak terdapat, sehingga muncullah postulat ini. Postulat pertama menekankan bahwa prinsip Relativitas Newton berlaku untuk semua rumus Fisika, tidak hanya dalam bidang mekanika, tetapi pada hukum-hukum Fisika lainnya. Sedangkan postulat yang kedua sebagai konsekuensi dari postulat yang pertama, sehingga kelihatannya postulat kedua ini bertentangan dengan teori Relativitas Newton dan transformasi Galileo tidak berlaku untuk cahaya. Dalam postulat ini Einstein menyatakan bahwa selang waktu pengamatan antara pengamat yang diam dengan pengamat yang bergerak relatif terhadap kejadian yang diamati tidak sama (t ≠ t’). [ Hukum Kekekalan Muatan ]
Menurut Einstein besaran kecepatan, waktu, massa, panjang adalah bersifat relatif. Untuk dapat memasukkan konsep relativitas Einstein diperlukan transformasi lain, yaitu transformasi Lorentz.
- Relativitas Newton membicarakan gerak benda yang jauh lebih kecil dibandingkan dengan kecepatan cahaya yang dinyatakan dalam persamaan:
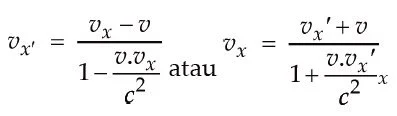
- Relativitas Einstein yaitu membicarakan benda yang bergerak mendekati kecepatan cahaya, menurut Einstein kecepatan benda dinyatakan :
- Pengukuran panjang suatu benda apabila dilakukan dengan bergerak akan selalu menghasilkan hasil pengukuran yang lebih pendek dibandingkan dengan pengukuran dalam keadaan diam. Pengerutan hasil pengukuran ini disebut konstraksi Lorentz yang dinyatakan.
- Menurut Einstein bahwa massa benda tidak selalu tetap melainkan bersifat relatif, massa benda akan berubah semakin besar apabila benda tersebut bergerak semakin mendekati kecepatan cahaya, massa relatif benda dinyatakan :
- Antara massa dan energi menurut Einstein saling berhubungan, di mana kesetaraan antara massa benda dengan energi dinyatakan : E = mc².
- Energi kinetik yang dimiliki oleh sebuah benda menurut Einstein adalah selisih antara energi total dengan energi diamnya yang bisa dinyatakan :
Demikianlah info singkat dari admin niatku.com tentang Rumus Relativitas Newton dan Einstein yang bisa dibagikan untuk anda. Semoga bermanfaat dan bisa menambah wawasan dalam masalah Fisika.







